E邀专家
为加强医疗器械产品注册工作的监督和指导,进一步提高注册审查质量,国家药品监督管理局组织制定了《登革病毒核酸检测试剂注册技术审查指导原则》,现予发布。
特此通告。
附件:登革病毒核酸检测试剂注册技术审查指导原则
国家药监局
2020年5月11日
附件
登革病毒核酸检测试剂注册技术审查指导原则
本指导原则旨在指导注册申请人对登革病毒核酸检测试剂注册申报资料的准备及撰写,同时也为技术审评部门审评注册申报资料提供参考。
本指导原则是对登革病毒核酸检测试剂的一般要求,申请人应依据产品的具体特性确定其中内容是否适用,若不适用,需具体阐述理由及相应的科学依据,并依据产品的具体特性对注册申报资料的内容进行充实和细化。
本指导原则是供申请人和审查人员使用的指导文件,不涉及注册审批等行政事项,亦不作为法规强制执行,如有能够满足法规要求的其他方法,也可以采用,但应提供详细的研究资料和验证资料。应在遵循相关法规的前提下使用本指导原则。
本指导原则是在现行法规、标准体系及当前认知水平下制定的,随着法规、标准的不断完善和科学技术的不断发展,本指导原则相关内容也将适时进行调整。
一、适用范围
登革热是由登革病毒(dengue virus,DV)引起的一种急性传染病,广泛流行于全球热带及亚热带地区,通常由蚊媒传播。登革病毒感染可表现为无症状隐性感染、非重症感染及重症感染等。典型的登革热病程分为三期,即急性发热期、极期和恢复期。
登革病毒属黄病毒科黄病毒属,为RNA病毒,基因组由单股正链RNA组成,共有4个血清型(DENV-1、DENV-2 DENV-3和DENV-4),4种血清型均可引起登革热的感染和流行,各型病毒间抗原性有交叉。与寨卡病毒、乙脑病毒、西尼罗病毒等其他黄病毒抗原性有交叉。
登革病毒感染的常用的实验室检测包括血常规、血生化检查、病原学和血清学检查等。核酸检测是登革热病原学检测的重要参考。我国《登革热诊疗指南(2014年第2版)》中,明确:患者急性发热期可应用登革病毒核酸检测进行早期诊断。疑似或临床诊断病例,急性期血清检测出病毒核酸,可作为确诊依据。我国卫生行业标准《登革热诊断》(WS 216—2018),也将登革病毒RNA检测列入登革热病原学检测方法,用于登革热的早期诊断。
登革病毒核酸检测试剂是指:利用分子生物学检测技术,如逆转录-聚合酶链式反应(RT-PCR)等,以登革病毒共有的核酸序列为检测靶标,对血液样本中的登革病毒进行体外定性检测的试剂,用于登革热的辅助诊断。
本指导原则的技术要求是基于荧光探针PCR方法建立的,对于其他分子生物学检测技术,可能部分要求不完全适用或本文所述技术指标不够全面,申请人可以根据产品特性对不适用部分进行修订或补充其他的评价和验证,但需阐述不适用的理由,并验证替代方法的科学合理性。
本指导原则适用于以登革病毒共有的靶核酸序列作为靶标进行检测的试剂,对于预期用途为登革病毒分型核酸检测试剂,可能部分要求不完全适用或本文所述技术指标不够全面,申请人可以根据产品特性对不适用部分进行修订或补充其他的评价和验证,但需阐述不适用的理由,并验证替代方法的科学合理性。
本指导原则适用于进行首次注册申报和相关许可事项变更的产品。
二、注册申报资料要求
(一)综述资料
综述资料主要包括产品预期用途、产品描述、有关生物安全性的说明、研究结果的总结评价以及国内外同类产品上市情况介绍等内容。其中,同类产品上市情况介绍部分应着重从方法学、检验原理、最低检测限及被测靶核酸序列的特性等方面写明申报试剂与目前市场上已获批准的同类产品之间的主要区别。若被测物为新的靶核酸序列,则应详细论述检测靶标与登革热诊断的相关性,并提供充分的支持资料。
综述资料应符合《体外诊断试剂注册管理办法》(国家食品药品监督管理总局令第5号,以下简称《办法》)和《关于公布体外诊断试剂注册申报资料要求和批准证明文件格式的公告》(国家食品药品监督管理总局公告2014年第44号)的相关要求。
(二)主要原材料的研究资料
应提供主要原材料如引物、探针、酶、阴性对照、阳性对照、内对照以及企业参考品等的选择与来源、制备过程、质量分析和质量控制标准等的研究资料。若主要原材料为企业自己生产,其生产工艺必须相对稳定;如主要原材料购自其他供货商,应提供的资料包括:供货商提供的质量标准、出厂检定报告或性能指标证书,以及该原材料到货后的质量检验资料。
申请人应提供企业参考品的详细制备过程,包括组成、来源、毒株特性(如名称、型别、浓度)、溯源及定值资料等信息。企业参考品的项目应包括:阴性参考品、阳性参考品、最低检测限参考品、重复性参考品等。阳性参考品应包含DENV-1、DENV-2 DENV-3和DENV-4型标准毒株或临床分离株;阴性参考品则主要涉及对分析特异性(交叉反应)的验证情况;精密度参考品应至少包含两个浓度水平,其中包含弱阳性水平。建议采用灭活的毒株建立企业参考品,不宜仅采用质粒、假病毒、基因组提取/纯化物等核酸。
申报试剂的质控体系应包含阳性、阴性、内对照(内标)等。对样本核酸提取/纯化、配液及加样、试剂及仪器性能、扩增反应抑制物(管内抑制)、交叉污染、靶核酸降解等因素可能造成的假阴性或假阳性结果,进行质量控制。企业应对各种对照的Ct值或相应判断数值做出明确的范围要求。申报资料应详细描述对照的原料选择、制备、定值过程等试验资料。
1.内对照(内标)
内对照可对实验过程可能存在的扩增反应抑制物、仪器、试剂和操作等所导致的假阴性结果进行质量控制。申请人应对内对照(内标)的目的序列设计、构建进行详细的阐述,并对引物、探针和模板浓度做精确的验证,既要保证内标荧光通道呈明显的阳性曲线又要尽量降低对靶核酸序列检测造成的抑制而导致假阴性。
2.阳性对照
阳性对照可对实验完整过程进行质控。阳性对照可为:含有靶核酸序列的病毒样颗粒或灭活的登革病毒标准毒株或临床分离株,浓度水平为高于最低检测限水平的弱阳性或中等阳性。企业应对各种阳性对照的Ct值或相应判断数值做出明确的范围要求。
3.阴性对照
阴性对照对可能存在的由非特异性引起的假阳性进行质控。阴性对照不含待测靶序列,基质应尽量与待测样本相同或相近。需参与样本核酸的平行提取/纯化。
4.空白对照(如适用)
由不含模板的缓冲液或样本保存液组成,用于对扩增过程中可能出现的外界靶核酸污染和其他升高的背景进行质控。空白对照需参与样本核酸的平行提取/纯化。对于一些经特殊设计的检测试剂,可不常规设置空白对照。如:采用单管独立反应体系进行检测的试剂。此时应详述不进行设置的考虑。
5.核酸提取/纯化组分(如适用)的主要组成、原理介绍及相关的验证资料。
6.PCR组分的主要材料(包括引物、探针、各种酶及其他主要原料)的选择、制备、质量标准及实验研究资料,主要包括以下内容:
6.1脱氧三磷酸核苷(dNTP)
对纯度、浓度、保存稳定性等的详细资料。
6.2引物和探针
需提供靶序列选择的研究资料;引物、探针的设计资料,包括设计原则、序列信息,设计合理性分析等,需提供对序列准确性、纯度、浓度、稳定性、功能性实验等的详细资料。如为外购,还应提供合成机构出具的合成产物的质检证明。
6.3 PCR反应所需酶
DNA聚合酶,应具有DNA聚合酶活性,无核酸内切酶活性,具热稳定性,如:94℃保温1小时后仍保持50%活性;应提供有关外观、保存稳定性、活性及功能实验等的详细资料。
逆转录酶,应具有聚合酶活性,在适宜温度条件下可进行有效的逆转录反应。应提供有关外观、保存稳定性、活性及功能实验等的验证资料。
7. RNase抑制剂(如适用)
可抑制RNA酶可能造成的污染。应提供外观、活性及功能性试验的验证资料。
(三)主要生产工艺及反应体系的研究资料
主要生产工艺包括:配制工作液、半成品检定、分装和包装。配制工作液的各种原材料及其配比应符合要求,原材料应混合均匀,配制过程应对pH等关键参数进行有效控制。
生产工艺研究资料应能对反应体系涉及到的基本内容,如样本用量、试剂用量、反应条件、质控体系设置、Ct(临界)值确定等,提供确切的依据,主要包括以下内容:
1.主要生产工艺介绍,可以图表方式表示。
2.对生产工艺主要控制点进行阐述。
3.核酸提取/纯化方法确定的研究资料。
4.确定最佳PCR反应体系的研究资料,包括酶浓度、引物/探针浓度、dNTP浓度、阳离子浓度、样本量及反应体积等。
5.确定PCR反应各阶段温度、时间及循环数的研究资料。
6.对于基线阈值(threshold)和阈值循环数(Ct)确定的研究资料。
(四)分析性能评估资料
企业应提交在产品研制阶段对申报试剂进行的所有性能验证的研究资料,包括具体的试验方法(操作步骤)、内控标准、实验数据、统计分析等详细资料。对于登革病毒核酸检测试剂,建议着重对以下分析性能进行研究。
1.检出能力
1.1最低检测限的确定
建议使用DENV-1~DENV-4型培养后的登革病毒原液的梯度稀释液来确定最低检测限。应采用与待测样本类型一致的样本进行稀释。每个浓度梯度重复3~5份,每份进行不少于20次的重复检测,将具有95%阳性检出率的浓度作为最低检测限。应明确毒株的来源、浓度、浓度的确定方法和制备稀释方法等信息。企业可采用半数组织感染量测定法(TCID50)的方法进行毒株浓度的确认,以TCID50/mL作为毒株浓度的表示方式;也可采用空斑形成单位(PFU)的方法进行毒株浓度的确认,以PFU /mL作为毒株浓度的表示方式进行毒株浓度的确认。
1.2最低检测限的验证
在最低检测限或接近最低检测限浓度对DENV-1~DENV-4型登革病毒进行验证。每个血清型应至少选择多个流行毒株进行验证。企业应能够提供用于最低检测限验证的各个毒株的来源、制备方法及浓度等信息。
1.3 申请人应明确申报产品最低可检出的登革病毒拷贝数水平,并提供确定过程及相关的实验数据,本研究应针对四种不同的血清型分别进行确认。
2.分析特异性
2.1交叉反应
交叉反应验证的病原体种类主要考虑以下几方面:核酸序列具有同源性、易引起相同或相似的临床症状的和常见感染的其他病原体。具体目录参见表1。
建议在病原体感染的医学相关水平进行交叉反应的验证。建议进行交叉反应验证的细菌的最低浓度为106 CFU/mL(CFU:菌落形成单位);进行交叉反应验证的病毒,如可进行体外培养,其最低浓度为1×105 TCID50/mL。应提供用于交叉反应验证的病原体的制备方法、来源、种属和浓度等信息。
对于某些难以培养或者因为生物安全性无法培养的病原体,可采用病原体核酸样本进行交叉反应的验证。应提供用于交叉反应验证的病原体核酸的来源、组成和浓度等信息。采用病原体核酸样本进行试验时,应将核酸样本视为实际使用过程中参与PCR反应的核酸样本,根据试剂说明书的要求配制PCR反应体系,进行扩增。
有关交叉反应验证的信息应以列表的方式在产品说明书的【产品性能指标】项中体现。
表1 用于交叉反应研究的病原体
乙型脑炎病毒*
森林脑炎病毒*
黄热病病毒*
圣路易脑炎病毒
寨卡病毒*
丙型肝炎病毒*
西尼罗病毒
伯氏疏螺旋体
钩端螺旋体
基孔肯雅病毒*
新疆出血热病毒
加利福尼亚脑炎病毒
EB病毒
麻疹病毒
风疹病毒
巨细胞病毒
单纯疱疹病毒
东部马脑炎病毒
汉滩病毒
汉城病毒
发热伴血小板减少综合征病毒
普马拉病毒
西尼罗病毒
甲型流感病毒
乙型流感病毒
注:*标注的为必做项目
2.2干扰物质
潜在的干扰物质主要包括:内源性物质(如脂血、溶血、黄疸等)、抗凝剂干扰和外源性药物。
建议申请人在每种干扰物质的潜在最大浓度(最差条件)条件下,采用包含弱阳性样本在内的至少两个登革病毒浓度水平的样本进行干扰研究。对于常见药物干扰试验,建议参照相应药物药代动力学研究确定的治疗药物浓度添加相应药物进行干扰验证。
表2 用于干扰研究的物质
抗病毒药:如利巴韦林
对乙酰氨基酚
抗生素(如:阿莫西林)
激素类药物:如地塞米松
肝素
EDTA
枸橼酸钠
人基因组DNA
白蛋白
注:建议以上干扰物质均进行验证
3.精密度
测量精密度的评价方法并无统一的标准可依,可根据不同产品特征或企业的研究习惯进行,前提是必须保证研究的科学合理性。具体实验方法可以参考国内或国外的相关文件进行。企业应对每项精密度指标的评价标准做出合理要求,如标准差或变异系数的范围等。针对申报试剂的精密度评价主要包括以下要求。
3.1对可能影响检测精密度的主要变量进行验证,除申报试剂(包括提取/纯化组分和PCR组分)本身的影响外,还应对不同的适用机型(如PCR分析仪)、操作者、地点等要素进行相关的验证。
3.2合理的精密度评价周期,例如:为期至少12天的检测,每天至少由2人完成不少于2次的完整检测,从而对批内/运行间、日内/日间以及不同操作者之间的精密度进行综合评价。如有条件,申请人应选择不同的实验室进行重复实验以对室间精密度进行评价。对于校准周期较短的试剂,如短于2个月,精密度研究时间跨度应至少包含两个校准周期。
3.3建议采用临床样本或采用含有靶核酸序列的病毒样颗粒/登革病毒标准毒株(“3.3.1阴性样本”不适用)添加至与适用样本类型一致的基质中作为样本,对至少包含阴性和弱阳性浓度的四个浓度水平进行验证:
3.3.1阴性样本:不含待测靶物质的样本,阴性检出率应为100%(n≥20)。
3.3.2 高阴性/弱阳性样本(C20~C80):浓度略低于试剂盒的阳性判断值,重复检测阴性率为20%~80%。(n≥20)。
3.3.3弱阳性样本:浓度略高于试剂盒的阳性判断值,阳性检出率应高于95%(n≥20)。
3.3.4中等阳性样本:浓度高于试剂盒的阳性判断值,阳性检出率应100%(n≥20)。
4.核酸分离/纯化性能
在进行靶核酸检测前,应有适当的核酸分离/纯化步骤。血清/血浆样本经不同的核酸分离/纯化过程所获得登革病毒核酸的纯度和核酸量会有不同。因此,无论检测试剂是否包含有核酸分离/纯化的组分,申请人都应结合检测试剂的性能,对配合使用的核酸分离/纯化试剂(方法)的提取效率、提取浓度和抗干扰进行充分的验证。
对于说明书中声称可配合两个或以上提取试剂或提取方法的检测试剂。申请人应对选定的每一种提取试剂/方法进行验证,一般而言,至少包含最低检测限和精密度的验证。
(五)阳性判断值确定资料
对于基于荧光探针PCR方法的检测试剂,阳性判断值确定资料主要是指Ct值的确定资料。申请人应采用适当的统计学方法建立检测试剂的阳性判断值。申请人可采用受试者工作特征(ROC)曲线的方式确定申报试剂用于结果判断的临界值。有关ROC曲线分析的细节,请参考国内外相关的文件。如存在灰区,应提交灰区确定的详细的研究资料。
(六)稳定性研究资料
稳定性研究资料主要涉及两部分内容,申报试剂的稳定性和样本的稳定性研究。前者主要包括实时稳定性(有效期)、开瓶稳定性、运输稳定性(如适用)及冻融次数限制(如适用)等研究,申请人可根据实际需要选择合理的稳定性研究方案。稳定性研究资料应包括研究方法、接受标准、详细的研究数据以及结论。对于实时稳定性研究,应提供至少三批试剂在实际储存条件下保存至成品有效期后的研究资料。
考虑到病毒RNA极易被降解的特性,企业也应对样本稳定性进行研究,主要包括冷藏、冷冻(如适用)和运送条件下的有效期验证。适于冷冻保存的样本还应对冻融次数进行评价。
对于样本提取后不能立即进行检测的,应明确核酸储存条件、储存时间等,同时应提供相应的核酸稳定性研究资料,核酸样本如可以冷冻,亦应提交冻融次数研究资料。
试剂稳定性和样本稳定性两部分内容的研究结果均应在说明书【储存条件及有效期】和【样本要求】两项中进行详细说明。
(七)临床评价
1.研究方法
1.1如有同类产品上市,申请人可选择已上市产品作为参比试剂针对临床样本进行比较研究试验,证明试验用体外诊断试剂与已上市产品等效。选择参比试剂时,应充分考虑其分析性能,如最低检测限等,确保考核试剂与参比试剂具有可比性。
1.2申请人亦可采用核酸序列测定方法作为参比方法,验证考核试剂检测结果与核酸序列测定(测序)结果之间的一致性情况。临床研究中应对选用的测序方法做详细介绍,并对委托测序服务的机构(如涉及)资质和选择依据作简要说明或提供相关资料。
1.3除上述1.1/1.2比对试验外, 申请人同时应进行部分与病毒分离培养鉴定进行比对的临床试验。
1.4其他:关于1.2的测序试验,申请人应提供以下关于测序部分的详细试验资料,需有临床试验单位的签章确认。
1.4.1测序方法原理、测序仪型号、测序试剂及消耗品的相关信息。
1.4.2测序方法所用引物相关信息,如基因区段选择,分子量、纯度、功能性实验等资料。引物设计应合理涵盖考核试剂扩增的靶核酸区段。
1.4.3对所选测序方法的分析性能进行合理验证,尤其是最低检测限的确认,建议将所选测序方法与申报试剂的相关性能进行比对分析。
1.4.4测序方法应建立合理的阳性质控品和阴性质控品对临床样本的检测结果进行质量控制。
1.4.5提交有代表性的样本测序图谱及结果分析资料。
1.4.6提交临床病例的确诊信息,并提交测序结果和临床确诊信息的统计分析资料。
2. 临床试验机构的选择
登革热属于区域性传染性疾病,建议申请人在相关流行病学多发区域选择临床试验机构,应是经备案的医疗器械临床试验机构。临床试验机构数量应不少于3家,且具有分子生物学方法检测的优势,实验操作人员应有足够的时间熟悉检测系统的各环节(仪器、试剂、质控及操作程序等),熟悉评价方案。在整个实验中,考核试剂和参比试剂都应处于有效的质量控制下,最大限度保证试验数据的准确性及可重复性。
3.临床试验方案
临床试验实施前,研究人员应从流行病学、统计学、临床医学、检验医学等多方面考虑,设计科学合理的临床研究方案。各临床试验机构的方案设计应一致,且保证在整个临床试验过程中遵循预定的方案实施,不可随意改动。整个试验过程应在临床研究机构的实验室内并由本实验室的技术人员操作完成,申报单位的技术人员除进行必要的技术指导外,不得随意干涉实验进程,尤其是数据收集过程。
试验方案中应确定严格的病例纳入/剔除标准,任何已经入选的病例再被剔除出临床研究都应记录在案并明确说明原因。在试验操作过程中和判定试验结果时应采用盲法以保证试验结果的客观性,对于编盲的方式应有详细描述。各研究单位选用的参比试剂及试验仪器应一致,以便进行汇总统计分析,且严格遵循考核试剂/参比试剂的说明书要求进行操作。临床方案中还应明确当二者检测结果不一致时,第三方确认试剂/第三方确认方法。另外,考核试剂适用的样本类型等不应超越参比试剂的相应检测要求,若此种情况发生,则应选择其他合理参比方法对额外情形进行验证。
由于需采用登革血清学分型试剂,对于需要分型的病例,各临床试验机构应当采用统一的分型确认方法。
病毒分离培养鉴别的方法可参考原卫生部发布的《登革热诊断标准》中附录A.3“C 6/36白纹伊蚊细胞分离登革病毒”或附录A.4“应用乳小白鼠分离登革病毒”方法进行病毒分离鉴定检测,各临床试验机构应当采用统一的登革病毒分离培养鉴定方法。
4.病例选择及阳性病例比例
适当的样本量是保证体外诊断试剂临床性能得到准确评价的必要条件。临床试验样本量应满足统计学要求,可采用适当的统计学方法进行估算。根据不同的预期用途,设计相应临床试验,以辅助诊断用途为例,临床试验可依据试验用体外诊断试剂相对于对比试剂的阴阳性符合率分别估算最低阴阳性样本例数。
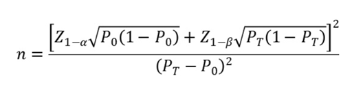
临床样本量的估算建议采用如下样本量公式计算,

公式中,n为样本量;Z1-α、Z1-β为显著性水平和把握度的标准正态分布的分数位,P0为评价指标的临床可接受标准,PT为试验用体外诊断试剂评价指标预期值。
其中,阴阳性符合率的临床可接受标准(P0)建议不低于95%。获得临床试验数据后,证明产品相对于对比方法的阴阳性符合率(置信区间下限)不低于预设的临床可接受标准(P0)。当评价指标P接近100%时,上述样本量估算方法可能不适用,应考虑选择更加适宜的方法进行样本量估算和统计学分析,如精确概率法等。
临床试验应以发热疑似登革热患者作为研究对象,应以前瞻性收集样本为主,至少包含前瞻性新鲜样本的DEN-1型、DEN-2型,对于DEN-3型、DEN-4型阳性病例,如较难获得,可采用回顾性收集病例。每种型别阴、阳性例数以及阴、阳性符合率置信区间上下限应当满足统计学要求。
病毒分离培养应入组一定数量的阳性及阴性病例,考察考核试剂与病毒分离培养结果的一致性,纳入的例数及与病毒分离培养对比的结果也应当满足统计学要求。
申请人还应纳入一定数量其他发热病例、黄病毒(如有)感染病例做为干扰病例进行临床试验。应当在临床试验方案中进行设计,并临床报告中进行统计。
5.统计学分析
对临床试验结果的统计应选择合适的统计方法,如检测结果一致性分析、阴性/阳性符合率等。对于本类产品对比实验的研究,常选择交叉四格表的形式总结两种试剂的定性检测结果,对定性结果进行kappa检验以验证两种试剂定性结果的一致性,统计分析应可以证明两种方法的检测结果有无明显统计学差异。在临床研究方案中应明确统计检验假设,即评价考核试剂与参比试剂是否等效的标准。
干扰病例应当在临床试验方案中进行设计,并在临床报告中进行统计。
6.结果差异样本的验证
在数据收集过程中,对于两种方法检测结果不一致的样本,应采用“金标准”方法进行复核,同时结合患者的临床病情对差异原因及可能结果进行分析。
7.临床试验总结报告撰写
根据《体外诊断试剂临床研究技术指导原则》的要求,临床试验报告应该对试验的整体设计及各个关键点给予清晰、完整的阐述,应该对整个临床试验实施过程、结果分析、结论等进行条理分明的描述,并应包括必要的基础数据和统计分析方法。建议在临床总结报告中对以下内容进行详述。
7.1临床试验总体设计及方案描述
7.1.1临床试验的整体管理情况、临床研究单位选择、临床主要研究人员简介等基本情况介绍。
7.1.2病例纳入/排除标准、不同年龄段人群的预期选择例数及标准。
7.1.3样本类型,样本的收集、处理及保存等。
7.1.4统计学方法、统计软件、评价统计结果的标准。
7.2具体的临床试验情况
7.2.1临床研究所用产品的名称、批号、有效期及所用机型等信息,以及对比试验产品的注册情况。
7.2.2对各研究单位的病例数、年龄分布情况进行综合分析,建议以列表或图示方式给出具体例数及百分比。
7.2.3质量控制,试验人员培训、仪器日常维护、质控品运行情况,对检测精密度、质控品测量值的抽查结果评估。
7.2.4具体试验过程,样本检测、数据收集、样本保存、结果不一致样本的校验等。
7.3统计学分析
7.3.1数据预处理、差异数据的重新检测或第三方验证、对异常值或缺失值的处理、研究过程中是否涉及对方案的修改。
7.3.2阳性符合率、阴性符合率、总体符合率。
7.3.3以交叉四格表的形式总结两种试剂的定性检测结果,对定性结果进行四格表kappa检验以验证两种试剂定性结果的一致性。
7.4讨论和结论
对总体结果进行总结性描述并简要分析试验结果,对本次临床研究有无特别说明,最后得出临床试验结论。
(八)产品技术要求
申请人应当在原材料质量和生产工艺稳定的前提下,根据申请人产品研制、临床评价等结果,依据国家标准、行业标准及有关文献,按照《医疗器械产品技术要求编写指导原则》(国家食品药品监督管理总局通告2014年第9号)的有关要求,编写产品技术要求。
登革病毒核酸检测试剂的产品性能指标应主要包括:物理性状、阴/阳性参考品符合率、精密度、最低检测限等。阳性参考品主要考察对试剂盒适用范围内不同血清型登革病毒的检测能力,阴性参考品则重点对申报试剂的分析特异性进行验证。
如果申报试剂已有适用的国家标准品、参考品发布,则申请人应在产品技术要求中提出检测要求。
按照《办法》的规定,此类产品为第三类体外诊断试剂,申请人应按照《医疗器械产品技术要求编写指导原则》的要求,以附录形式明确主要原材料、生产工艺及半成品要求,附录的编制应符合相关编写规范的要求。
(九)产品说明书
产品说明书的格式应符合《体外诊断试剂说明书编写指导原则》的要求,境外试剂的中文说明书除格式要求外,其内容应尽量保持与原文说明书一致,翻译力求准确且符合中文表达习惯。产品说明书的所有内容均应与申请人提交的注册申报资料中的相关研究结果保持一致,如某些内容引用自参考文献,则应以规范格式对此内容进行标注,并单独列明文献的相关信息。
结合《体外诊断试剂说明书编写指导原则》的要求,下面对登革病毒核酸检测试剂说明书的重点内容进行详细说明,以指导注册申报人员更合理地编制说明书。
1.【预期用途】应至少包括以下几部分内容:
1.1试剂盒用于体外定性检测人血清和/或血浆样本中的登革病毒RNA。
1.2简单介绍登革病毒核酸的类型与结构、病毒体的形态结构、分类;登革病毒的传播方式及媒介;包括哪些血清型;致病性与免疫性;感染后的临床表现;流行病学及实验室常用的检测手段。
1.3待测人群特征介绍:根据《登革热诊疗指南》确定的疑似登革病毒感染的人群。
1.4 注意:登革疫情监控的用途,不属于体外诊断试剂批准范围,不得在预期用途中声称。
2.【主要组成成分】
2.1说明试剂盒包含组分的名称、数量、比例或浓度等信息,说明不同批号试剂盒中各组分是否可以互换。
2.2试剂盒中不包含但对该项检测必须的组份,企业应列出相关试剂/耗材的名称、货号及其他相关信息。
2.3如果试剂盒中不包含用于核酸提取/纯化的试剂组份,则应在此注明经过验证后推荐配合使用的商品化核酸提取/纯化试剂盒的生产企业、产品名称以及产品货号、医疗器械注册证号等详细信息。
3.【检验原理】
3.1对试剂盒检测的靶核酸序列进行详细描述(名称和基因位置等),对照设置及荧光信号检测原理等进行逐项介绍。
3.2核酸提取/纯化方法、原理等。
3.3简要介绍试剂盒技术原理及质控的作用机理。
4.【储存条件及有效期】
说明试剂盒的效期稳定性、开封稳定性、冻融次数要求等,应明确具体的储存条件及有效期。如需列明运输稳定性,应明确运输条件与时限。
5.【样本要求】重点明确以下内容:
5.1样本的收集:明确推荐的样本采集时间(如发病后立即进行采样)。样本的取材及处理方式等若有通用的技术规范或指南,则应遵循,并在此处引用。
5.2样本的运送和保存:明确保存条件及期限(短期、长期)、运送条件等。如声称样本可以冻存,还应明确冻融次数的限制。
6.【适用仪器】所有适用的仪器型号,并提供与仪器有关的重要信息以指导用户操作。
7.【检验方法】详细说明实验操作的各个步骤,包括:
7.1实验条件:实验室分区、实验环境的温度、湿度、空调气流方向控制等注意事项。
7.2试剂配制方法、注意事项。
7.3详述待测样本及相关对照核酸提取/纯化的条件、步骤及注意事项。
7.4扩增反应前准备:加样体积、顺序等。
7.5 PCR各阶段的温度、时间设置、循环数设置或相应的自动化检测程序及相关注意事项。
7.6仪器设置:特殊参数、结合探针的荧光素标记情况、对待测基因及内标的荧光通道选择。
7.7基线、循环阈值(Ct值)的选择方法或相应的自动化检测程序。
8.【检验结果的解释】
结合阳性对照、阴性对照、内对照(内标)、核酸提取/纯化对照(如适用)以及样本管检测结果的Ct值,以列表的形式对所有可能出现的结果组合(如阳性、阴性、无效)及相应的解释进行详述。明确无效结果的处理方式,如重新进行检测等。如存在检测灰区,应明确灰区的Ct值定义,并详述对于灰区结果的处理方式。
9.【检验方法的局限性】
9.1本试剂仅适用于对具有相关临床症状的患者进行检测。
9.2本试剂盒的检测结果仅供临床参考,对患者的临床诊治应结合其症状/体征、病史、其他实验室检查及治疗反应等情况综合考虑。
9.3对于免疫抑制患者,应谨慎解释检验结果。
9.4阴性结果不能排除登革病毒感染,对于发热症状出现后3~6天内采集的样本,应额外进行登革病毒IgM抗体检测,以提高检出。
9.5阳性结果并不表明存在感染性病毒或确定疾病症状是由登革病毒感染引起的。
9.6不恰当的样本采集、运送及处理,可能导致假阴性结果;低于最低检测限水平的病原体核酸浓度,也可导致假阴性结果。
9.7未经验证的其他干扰或PCR抑制因子等可能会导致假阴性结果。
9.8本试剂盒未进行基于新生儿样本的性能验证。
9.9登革病毒感染患者病情监测的用途未经验证。
10.【产品性能指标】
详述以下性能指标(包含但不限于):
10.1 最低检测限:说明试剂的最低检出浓度,简单介绍最低检测限的试验方法及结果。
10.2精密度:精密度参考品的组成、浓度及结果。
10.3分析特异性
10.3.1交叉反应:对出现在相应临床标本中可能产生交叉反应的其他病原体的验证情况,建议以列表的方式明确经过交叉反应验证的病原体名称、菌株特性、浓度等信息;
10.3.2干扰物质:样本中常见干扰物质对检测结果的影响,包括内源性干扰物质和外源性干扰物质;
10.4对比试验研究(如有):简要介绍对比试剂(方法)的信息、所采用的统计学方法及统计分析结果。
10.5境外(如适用)和境内临床试验数据总结。
11【注意事项】应至少包括以下内容:
11.1有关人源组份(如有)的警告,如:试剂盒内xx组份可能含有人源物质,虽已经通过了HBs-Ag、HIV1/2-Ab、HCV-Ab等项目的检测,但截至目前,没有任何一项检测可以确保绝对安全,故仍应将这些组分作为潜在传染源对待。
11.2临床实验室应严格按照《医疗机构临床基因扩增实验室管理办法》(卫办医政发〔2010〕194号,或现行有效版本)等有关分子生物学实验室、临床基因扩增实验室的管理规范执行。
11.3实验操作人员应接受过基因扩增或分子生物学方法检测的专业培训,具备相关的实验操作资格,实验室应符合《病原微生物实验室生物安全管理条例》及其他涉及到传染性病原微生物的管理规定中的相关要求。
三、参考文献
1.《登革热诊疗指南(2014年第2版)》,中华人民共和国国家卫生和计划生育委员会,2014.10.11。
2.《登革热诊断》,中华人民共和国卫生行业标准(WS 216-2018)。
3. Class II Special Controls Guideline: Dengue Virus Nucleic Acid Amplification Test Reagents, Guideline for Industry and Food and Drug Administration Staff, September 2014, FDA.
四、起草单位
国家药品监督管理局医疗器械技术审评中心。
E邀专家

2026-02-06
2026-02-06
2026-02-06
2026-02-06
2026-02-05